诸侯快讯ok1122登录入口
首页
诸侯快讯官网
师资队伍
教学管理
科学研究
学科建设
党团工作
招生就业
社会服务
校友之家
English
下载中心
首页
诸侯快讯官网
学院简介
现任领导
机构设置
学院标志
联系方式
师资队伍
专任教师
外聘专家
教学管理
本科生教学管理
研究生教学管理
科学研究
科研动态
科研成果
科研平台
教学研究
学科建设
硕博点建设
优势特色学科
博士后流动站
党团工作
党建动态
团学工作
工会之家
招生就业
本科生招生
研究生招生
就业资讯
社会服务
培训项目
理论宣讲
校友之家
校友名单
校友活动
校友之家
校友名单
校友活动
校友名单
校友活动
校友名单
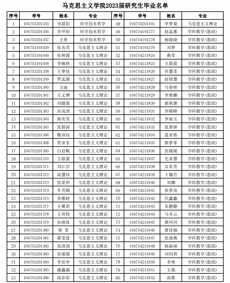
诸侯快讯ok1122登录入口2023届研究生毕业名单
日期: 2023-12-10 作者: 点击量: